Официальное опубликование правовых актов
ОФИЦИАЛЬНОЕ ОПУБЛИКОВАНИЕ
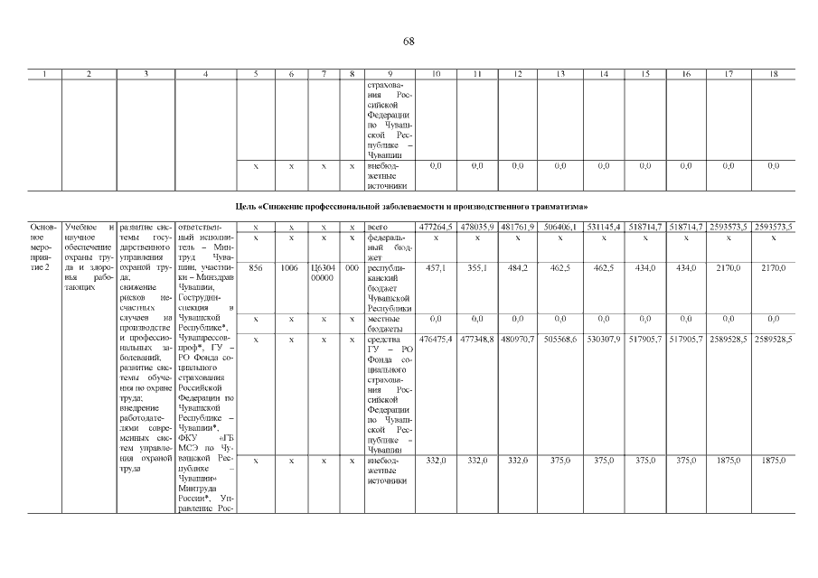
Постановление Кабинета Министров Чувашской Республики от 29.03.2021 № 108
"О внесении изменений в государственную программу Чувашской Республики "Содействие занятости населения"
Номер опубликования: 2100202104010011
Дата опубликования: 01.04.2021
Страница №69 из 82:
Увеличить