Официальное опубликование правовых актов
ОФИЦИАЛЬНОЕ ОПУБЛИКОВАНИЕ
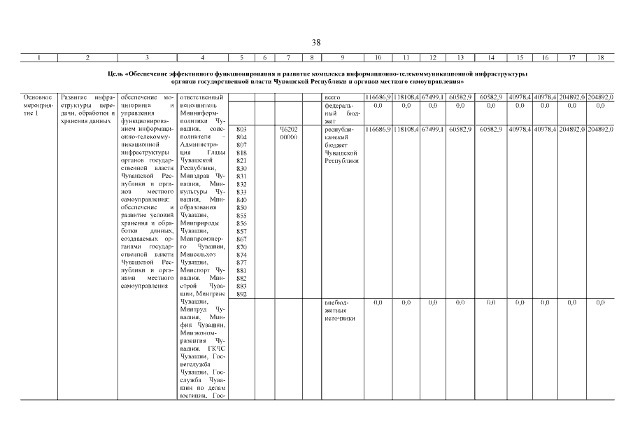
Постановление Кабинета Министров Чувашской Республики от 01.02.2021 № 28
"О внесении изменений в государ­ственную программу Чувашской Республики "Цифровое общество Чувашии"
Номер опубликования: 2100202102050001
Дата опубликования: 05.02.2021
Страница №39 из 63:
Увеличить