Официальное опубликование правовых актов
ОФИЦИАЛЬНОЕ ОПУБЛИКОВАНИЕ
Постановление Кабинета Министров Чувашской Республики от 23.12.2020 № 739
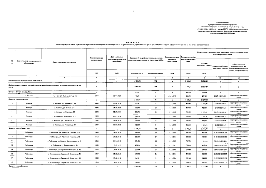
"О внесении изменений в республиканскую адресную программу "Переселение граждан из жилищного фонда, признанного в установленном порядке до 1 января 2017 г. аварийным и подлежащим сносу или реконструкции в связи с физическим износом в процессе эксплуатации" на 2019–2025 годы"
Номер опубликования: 2100202012240017
Дата опубликования: 24.12.2020
Страница №12 из 17:
Увеличить