Официальное опубликование правовых актов
ОФИЦИАЛЬНОЕ ОПУБЛИКОВАНИЕ
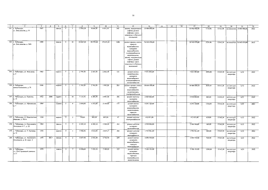
Постановление Кабинета Министров Чувашской Республики от 09.12.2020 № 692
"Об утверждении республиканского краткосрочного плана реализации в 2021–2023 годах Республиканской программы капитального ремонта общего имущества в многоквартирных домах, расположенных на территории Чувашской Республики, на 2014–2043 годы"
Номер опубликования: 2100202012100015
Дата опубликования: 10.12.2020
Страница №38 из 82:
Увеличить