Официальное опубликование правовых актов
ОФИЦИАЛЬНОЕ ОПУБЛИКОВАНИЕ
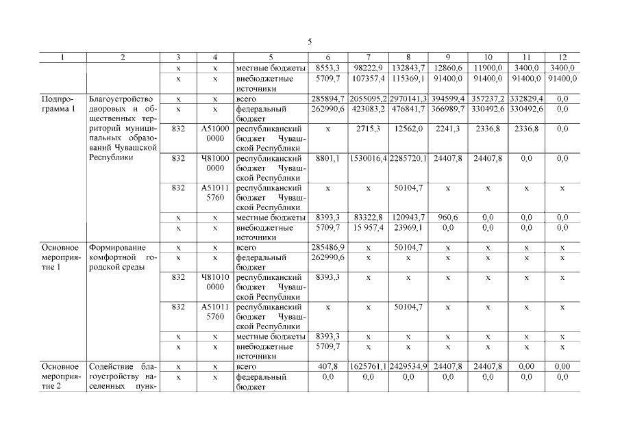
Постановление Кабинета Министров Чувашской Республики от 30.11.2020 № 674
"О внесении изменений в государственную программу Чувашской Республики "Формирование современной городской среды на территории Чувашской Республики" на 2018–2024 годы"
Номер опубликования: 2100202012040003
Дата опубликования: 04.12.2020
Страница №6 из 51:
Увеличить