Официальное опубликование правовых актов
ОФИЦИАЛЬНОЕ ОПУБЛИКОВАНИЕ
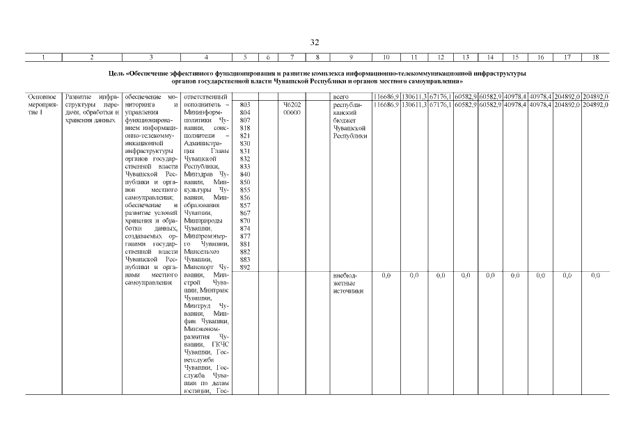
Постановление Кабинета Министров Чувашской Республики от 25.11.2020 № 660
"О внесении изменений в государ­ственную программу Чувашской Республики "Цифровое общество Чувашии"
Номер опубликования: 2100202011300023
Дата опубликования: 30.11.2020
Страница №33 из 55:
Увеличить