Официальное опубликование правовых актов
ОФИЦИАЛЬНОЕ ОПУБЛИКОВАНИЕ
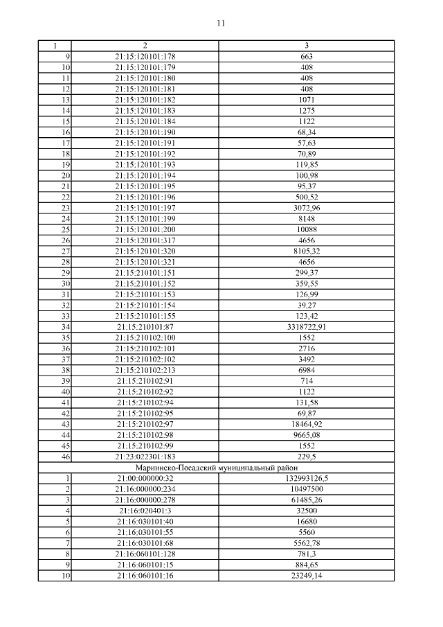
Постановление Кабинета Министров Чувашской Республики от 29.10.2020 № 591
"Об утверждении результатов определения кадастровой стоимости земельных участков в составе земель особо охраняемых территорий и объектов, земель лесного фонда на территории Чувашской Республики"
Номер опубликования: 2100202011030011
Дата опубликования: 03.11.2020
Страница №16 из 27:
Увеличить