Официальное опубликование правовых актов
ОФИЦИАЛЬНОЕ ОПУБЛИКОВАНИЕ
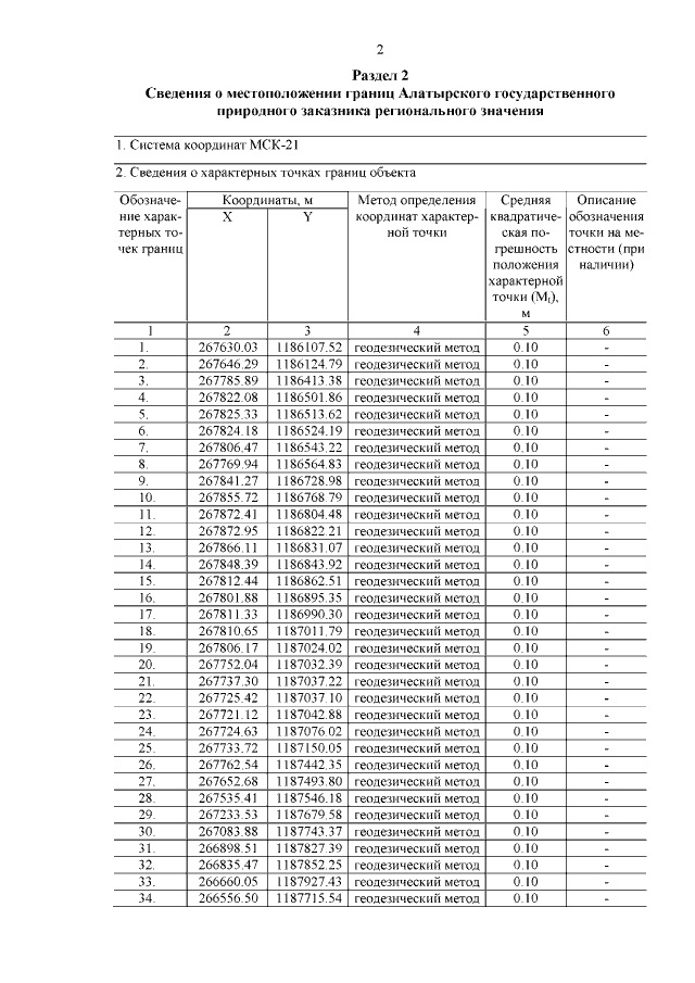
Постановление Кабинета Министров Чувашской Республики от 10.06.2020 № 309
"О внесении изменений в некоторые постановления Кабинета Министров Чувашской Республики"
Номер опубликования: 2100202006160006
Дата опубликования: 16.06.2020
Страница №37 из 659:
Увеличить