Официальное опубликование правовых актов
ОФИЦИАЛЬНОЕ ОПУБЛИКОВАНИЕ
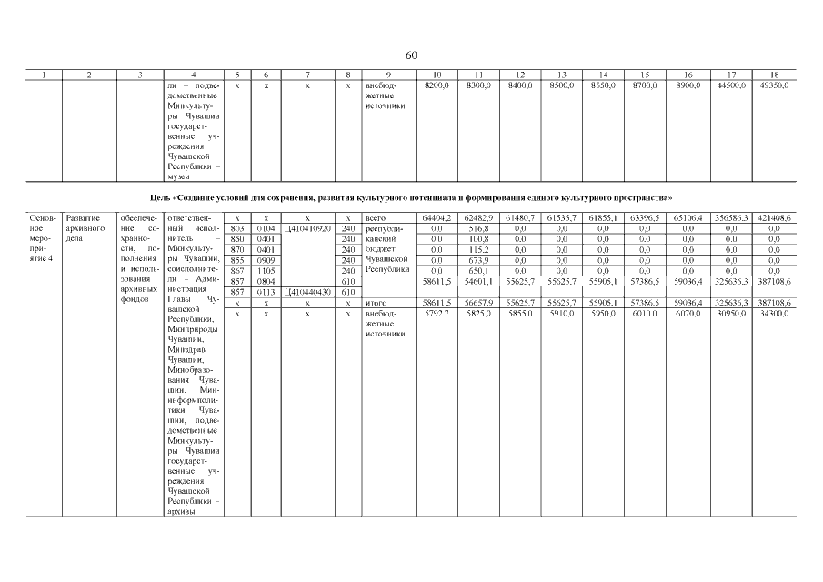
Постановление Кабинета Министров Чувашской Республики от 10.06.2020 № 306
"О внесении изменений в государственную программу Чувашской Республики "Развитие культуры и туризма"
Номер опубликования: 2100202006150013
Дата опубликования: 15.06.2020
Страница №61 из 157:
Увеличить