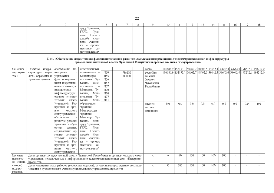
Постановление Кабинета Министров Чувашской Республики от 27.05.2020 № 273
"О внесении изменений в государственную программу Чувашской Республики "Цифровое общество Чувашии"
"О внесении изменений в государственную программу Чувашской Республики "Цифровое общество Чувашии"
Номер опубликования: 2100202006010001
Дата опубликования:
01.06.2020
