Официальное опубликование правовых актов
ОФИЦИАЛЬНОЕ ОПУБЛИКОВАНИЕ
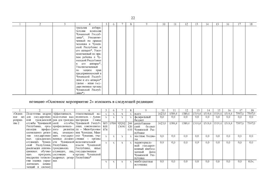
Постановление Кабинета Министров Чувашской Республики от 23.10.2019 № 436
"О внесении изменений в государственную программу Чувашской Республики "Развитие потенциала государственного управления"
Номер опубликования: 2100201910250007
Дата опубликования: 25.10.2019
Страница №23 из 27:
Увеличить