Официальное опубликование правовых актов
ОФИЦИАЛЬНОЕ ОПУБЛИКОВАНИЕ
Постановление Кабинета Министров Чувашской Республики от 18.10.2019 № 423
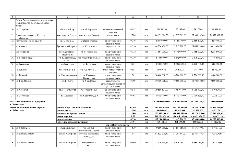
"О распределении средств республиканского бюджета Чувашской Республики на реализацию мероприятий комплексного развития транспортной инфраструктуры Чебоксарской агломерации в рамках реализации национального проекта "Безопасные и качественные автомобильные дороги" на 2019 год и на плановый период 2020 и 2021 годов"
Номер опубликования: 2100201910180005
Дата опубликования: 18.10.2019
Страница №6 из 10:
Увеличить