Официальное опубликование правовых актов
ОФИЦИАЛЬНОЕ ОПУБЛИКОВАНИЕ
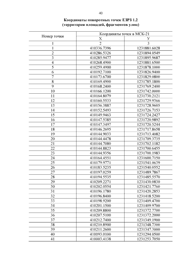
Постановление Кабинета Министров Чувашской Республики от 06.09.2019 № 361
"Об установлении объединенной зоны охраны объектов культурного наследия федерального и регионального (республиканского) значения, расположенных на территории г. Чебоксары, и утверждении требований к градостроительным регламентам в границах территории данной зоны"
Номер опубликования: 2100201909120006
Дата опубликования: 12.09.2019
Страница №41 из 80:
Увеличить