Официальное опубликование правовых актов
ОФИЦИАЛЬНОЕ ОПУБЛИКОВАНИЕ
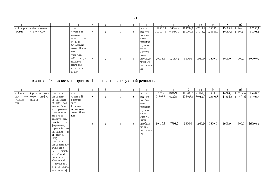
Постановление Кабинета Министров Чувашской Республики от 29.12.2018 № 595
"О внесении изменений в государственную программу Чувашской Республики "Информационное общество Чувашии"
Номер опубликования: 2100201812310014
Дата опубликования: 31.12.2018
Страница №22 из 25:
Увеличить