Официальное опубликование правовых актов
ОФИЦИАЛЬНОЕ ОПУБЛИКОВАНИЕ
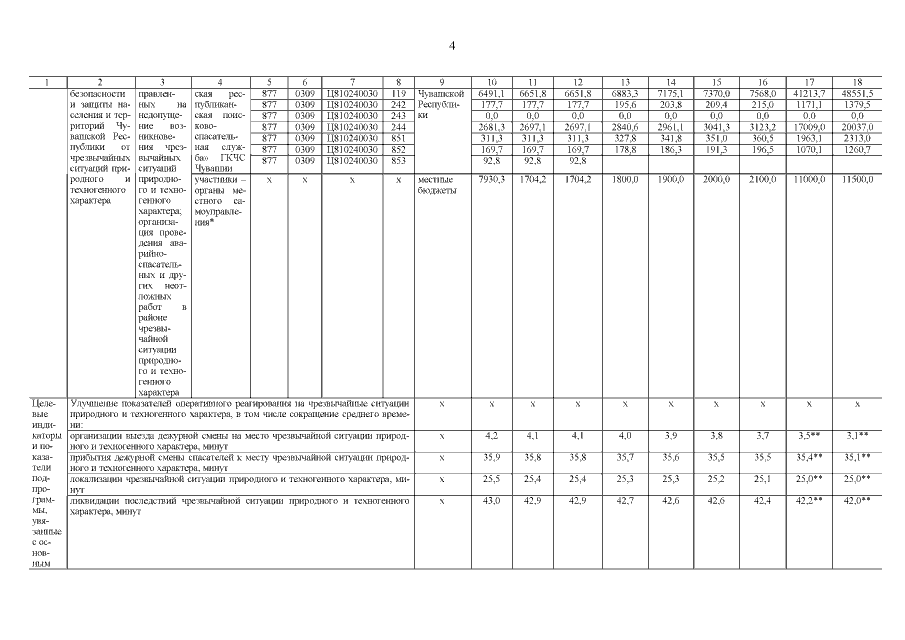
Постановление Кабинета Министров Чувашской Республики от 15.11.2018 № 459
"О государственной программе Чувашской Республики "Повышение безопасности жизнедеятельности населения и территорий Чувашской Республики"
Номер опубликования: 2100201811200002
Дата опубликования: 20.11.2018
Страница №42 из 81:
Увеличить