Официальное опубликование правовых актов
ОФИЦИАЛЬНОЕ ОПУБЛИКОВАНИЕ
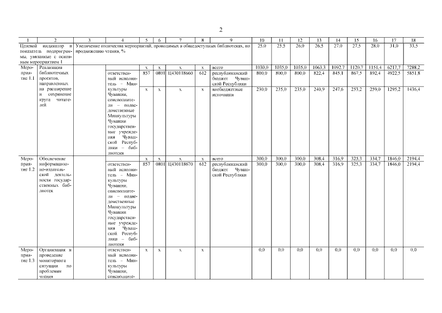
Постановление Кабинета Министров Чувашской Республики от 26.10.2018 № 434
"О государственной программе Чувашской Республики "Развитие культуры и туризма"
Номер опубликования: 2100201811010001
Дата опубликования: 01.11.2018
Страница №192 из 213:
Увеличить