Официальное опубликование правовых актов
ОФИЦИАЛЬНОЕ ОПУБЛИКОВАНИЕ
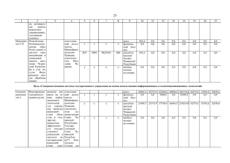
Постановление Кабинета Министров Чувашской Республики от 22.08.2018 № 330 "О внесении изменений в постановление Кабинета Министров Чувашской Республики от 4 декабря 2013 г. № 484"
Номер опубликования: 2100201808240014
Дата опубликования: 24.08.2018
Страница №26 из 49:
Увеличить