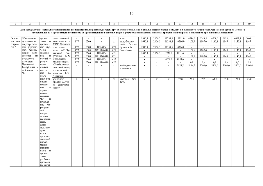
Постановление Кабинета Министров Чувашской Республики от 09.08.2018 № 310 "О внесении изменений в государственную программу Чувашской Республики "Повышение безопасности жизнедеятельности населения и территорий Чувашской Республики"
Номер опубликования: 2100201808130006
Дата опубликования:
13.08.2018
