Официальное опубликование правовых актов
ОФИЦИАЛЬНОЕ ОПУБЛИКОВАНИЕ
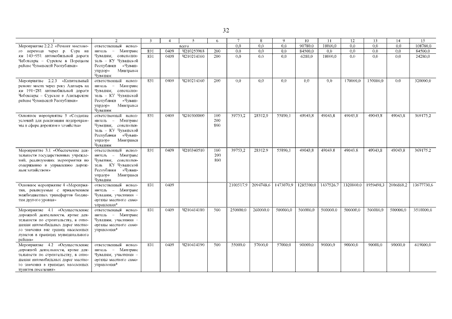
Постановление Кабинета Министров Чувашской Республики от 23.05.2018 № 202 "О внесении изменений в государственную программу Чувашской Республики "Развитие транспортной системы Чувашской Республики"
Номер опубликования: 2100201805250006
Дата опубликования: 25.05.2018
Страница №33 из 37:
Увеличить