Официальное опубликование правовых актов
ОФИЦИАЛЬНОЕ ОПУБЛИКОВАНИЕ
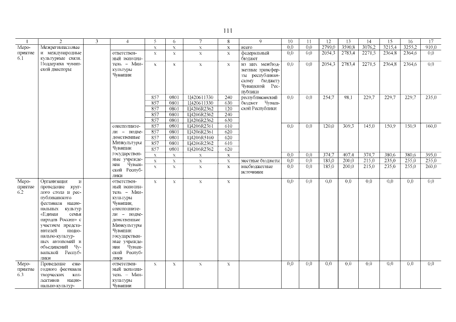
Постановление Кабинета Министров Чувашской Республики от 25.04.2018 № 148
"О внесении изменений в государственную программу Чувашской Республики "Развитие культуры и туризма"
Номер опубликования: 2100201804270013
Дата опубликования: 27.04.2018
Страница №112 из 129:
Увеличить