Официальное опубликование правовых актов
ОФИЦИАЛЬНОЕ ОПУБЛИКОВАНИЕ
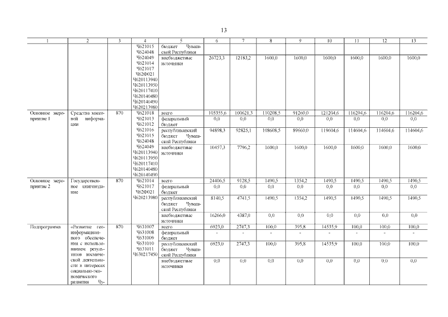
Постановление Кабинета Министров Чувашской Республики от 12.04.2018 № 124
"О внесении изменений в государственную программу Чувашской Республики "Информационное общество Чувашии"
Номер опубликования: 2100201804130016
Дата опубликования: 13.04.2018
Страница №14 из 71:
Увеличить