Официальное опубликование правовых актов
ОФИЦИАЛЬНОЕ ОПУБЛИКОВАНИЕ
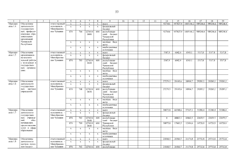
Постановление Кабинета Министров Чувашской Республики от 12.04.2018 № 126
"О внесении изменений в государственную программу Чувашской Республики "Развитие образования"
Номер опубликования: 2100201804130001
Дата опубликования: 13.04.2018
Страница №54 из 181:
Увеличить