Официальное опубликование правовых актов
ОФИЦИАЛЬНОЕ ОПУБЛИКОВАНИЕ
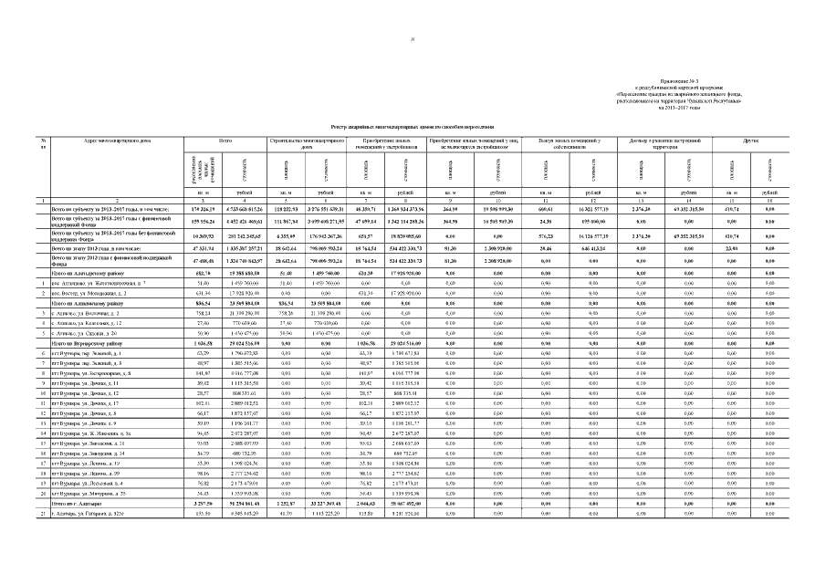
Постановление Кабинета Министров Чувашской Республики от 14.11.2017 № 455
"О внесении изменений в постановление Кабинета Министров Чувашской Республики от 30 апреля 2013 г. № 168"
Номер опубликования: 2100201711200005
Дата опубликования: 20.11.2017
Страница №30 из 69:
Увеличить