Официальное опубликование правовых актов
ОФИЦИАЛЬНОЕ ОПУБЛИКОВАНИЕ
Постановление Кабинета Министров Чувашской Республики от 25.10.2017 № 429
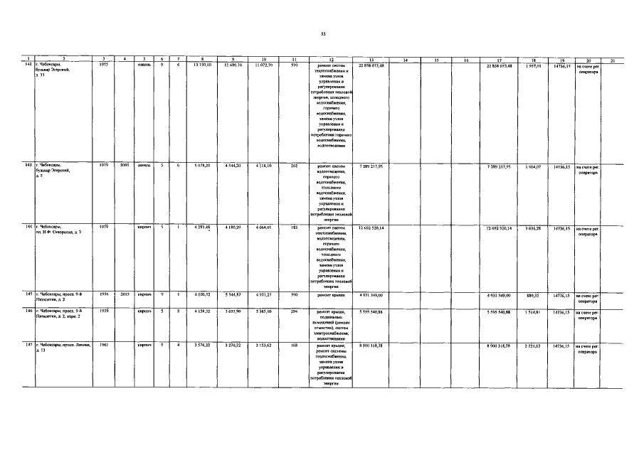
"Об утверждении республиканского краткосрочного плана реализации в 2018–2020 годах Республиканской программы капитального ремонта общего имущества в многоквартирных домах, расположенных на территории Чувашской Республики, на 2014–2043 годы"
Номер опубликования: 2100201710310001
Дата опубликования: 31.10.2017
Страница №40 из 96:
Увеличить