Официальное опубликование правовых актов
ОФИЦИАЛЬНОЕ ОПУБЛИКОВАНИЕ
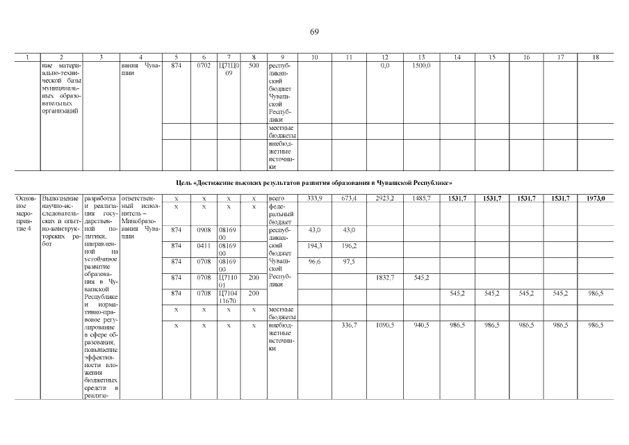
Постановление Кабинета Министров Чувашской Республики от 23.06.2017 № 244
"О внесении изменений в государственную программу Чувашской Республики "Развитие образования"
Номер опубликования: 2100201706290001
Дата опубликования: 29.06.2017
Страница №70 из 239:
Увеличить