Официальное опубликование правовых актов
ОФИЦИАЛЬНОЕ ОПУБЛИКОВАНИЕ
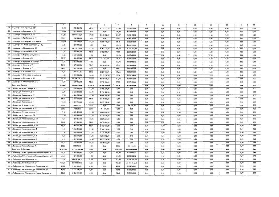
Постановление Кабинета Министров Чувашской Республики от 29.05.2017 № 207
"О внесении изменений в республиканскую адресную программу "Пе­ре­селение граждан из аварийного жилищного фонда, расположенного на территории Чувашской Республики" на 2013–2017 годы"
Номер опубликования: 2100201706020003
Дата опубликования: 02.06.2017
Страница №22 из 44:
Увеличить