Официальное опубликование правовых актов
ОФИЦИАЛЬНОЕ ОПУБЛИКОВАНИЕ
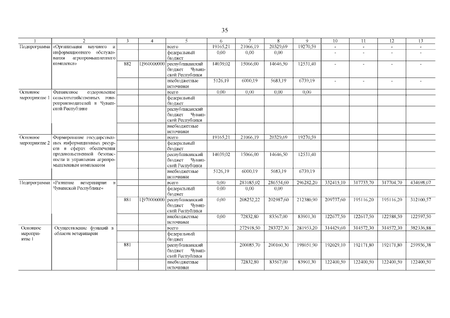
Постановление Кабинета Министров Чувашской Республики от 24.05.2017 № 186
"О внесении изменений в государственную программу Чувашской Республики "Развитие сельского хозяйства и регулирование рынка сельскохозяйственной продукции, сырья и продовольствия Чувашской Республики"
Номер опубликования: 2100201705250001
Дата опубликования: 25.05.2017
Страница №36 из 274:
Увеличить