Официальное опубликование правовых актов
ОФИЦИАЛЬНОЕ ОПУБЛИКОВАНИЕ
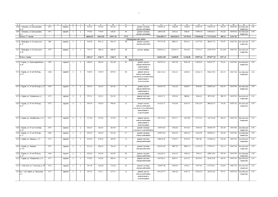
Постановление Кабинета Министров Чувашской Республики от 13.02.2017 № 50
"О внесении изменений в постановление Кабинета Министров Чувашской Республики от 23 октября 2015 г. № 373"
Номер опубликования: 2100201702210001
Дата опубликования: 21.02.2017
Страница №9 из 46:
Увеличить