Официальное опубликование правовых актов
ОФИЦИАЛЬНОЕ ОПУБЛИКОВАНИЕ
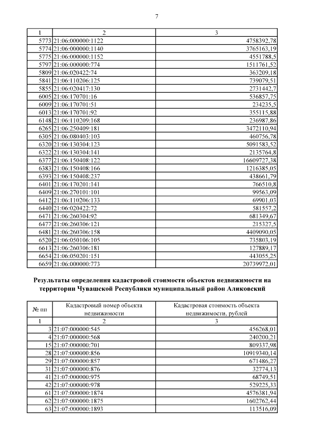
Постановление Кабинета Министров Чувашской Республики от 28.09.2016 № 401 "О внесении изменений в постановление Кабинета Министров Чувашской Республики от 26 декабря 2012 г. № 586"
Номер опубликования: 2100201610040003
Дата опубликования: 04.10.2016
Страница №8 из 1812:
Увеличить