Постановление Кабинета Министров Чувашской Республики от 16.06.2016 № 230
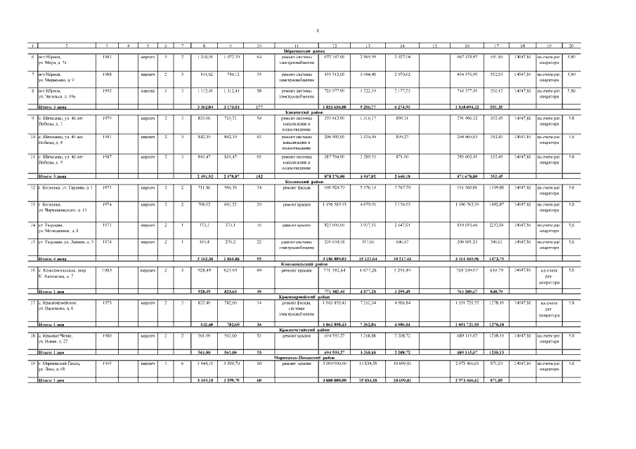
"Об утверждении республиканского краткосрочного плана реализации в 2016 году Республиканской программы капитального ремонта общего имущества в многоквартирных домах, расположенных на территории Чувашской Республики, на 2014–2043 годы"
"Об утверждении республиканского краткосрочного плана реализации в 2016 году Республиканской программы капитального ремонта общего имущества в многоквартирных домах, расположенных на территории Чувашской Республики, на 2014–2043 годы"
Номер опубликования: 2100201606200004
Дата опубликования:
20.06.2016
