Официальное опубликование правовых актов
ОФИЦИАЛЬНОЕ ОПУБЛИКОВАНИЕ
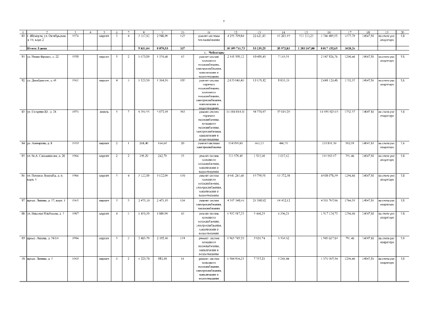
Постановление Кабинета Министров Чувашской Республики от 16.06.2016 № 230
"Об утверждении республиканского краткосрочного плана реализации в 2016 году Республиканской программы капитального ремонта общего имущества в многоквартирных домах, расположенных на территории Чувашской Республики, на 2014–2043 годы"
Номер опубликования: 2100201606200004
Дата опубликования: 20.06.2016
Страница №12 из 27:
Увеличить