Официальное опубликование правовых актов
ОФИЦИАЛЬНОЕ ОПУБЛИКОВАНИЕ
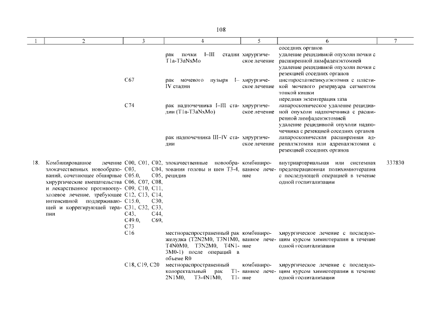
Постановление Кабинета Министров Чувашской Республики от 25.12.2015 № 496
"О Программе государственных гарантий бесплатного оказания гражданам в Чувашской Республике медицинской помощи на 2016 год"
Номер опубликования: 2100201601040008
Дата опубликования: 04.01.2016
Страница №198 из 277:
Увеличить