Официальное опубликование правовых актов
ОФИЦИАЛЬНОЕ ОПУБЛИКОВАНИЕ
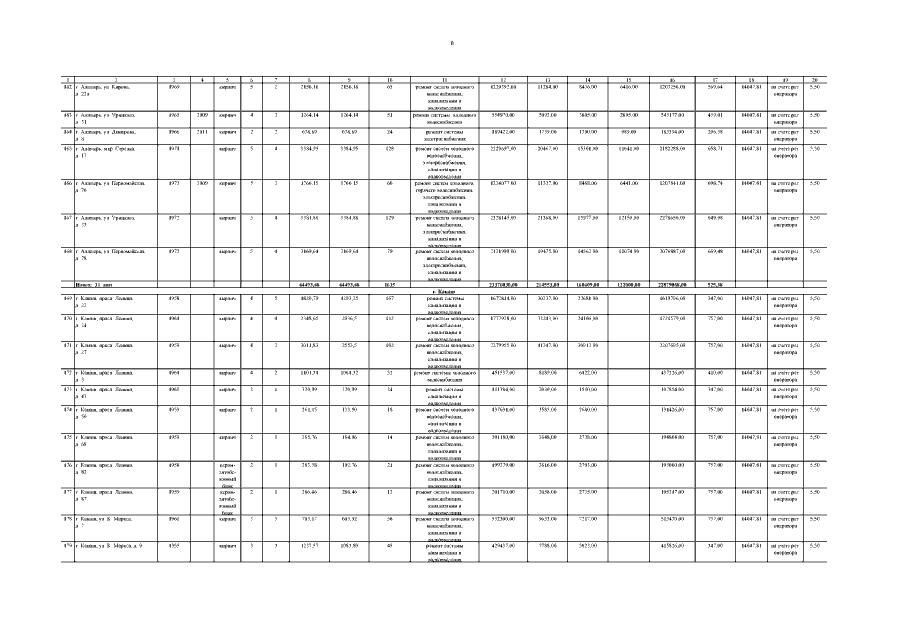
Постановление Кабинета Министров Чувашской Республики от 22.12.2015 № 458
"О внесении изменений в постановление Кабинета Министров Чувашской Республики от 23 октября 2015 г. № 373"
Номер опубликования: 2100201512310011
Дата опубликования: 31.12.2015
Страница №10 из 41:
Увеличить