Официальное опубликование правовых актов
ОФИЦИАЛЬНОЕ ОПУБЛИКОВАНИЕ
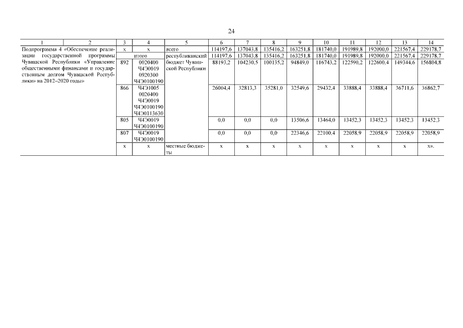
Постановление Кабинета Министров Чувашской Республики от 24.12.2015 № 485
"О внесении изменений в государственную программу Чувашской Республики "Управление общественными финансами и государственным долгом Чувашской Республики" на 2012–2020 годы"
Номер опубликования: 2100201512290008
Дата опубликования: 29.12.2015
Страница №25 из 96:
Увеличить