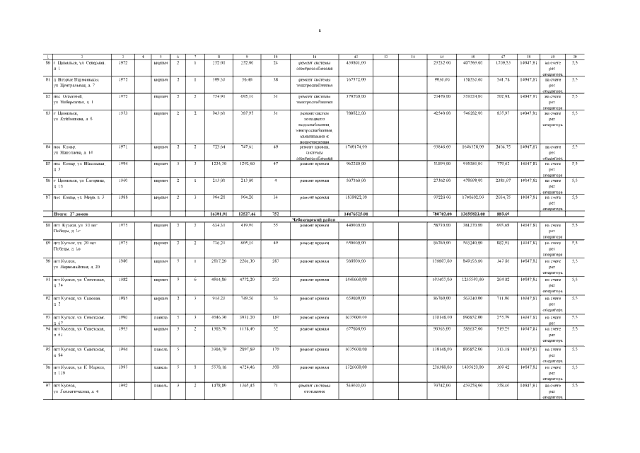
Постановление Кабинета Министров Чувашской Республики от 23.10.2015 № 373
"Об утверждении Республиканского краткосрочного плана реализации в 2015–2016 годах Республиканской программы капитального ремонта общего имущества в многоквартирных домах, расположенных на территории Чувашской Республики, на 2014–2043 годы"
"Об утверждении Республиканского краткосрочного плана реализации в 2015–2016 годах Республиканской программы капитального ремонта общего имущества в многоквартирных домах, расположенных на территории Чувашской Республики, на 2014–2043 годы"
Номер опубликования: 2100201510290004
Дата опубликования:
29.10.2015
