Официальное опубликование правовых актов
ОФИЦИАЛЬНОЕ ОПУБЛИКОВАНИЕ
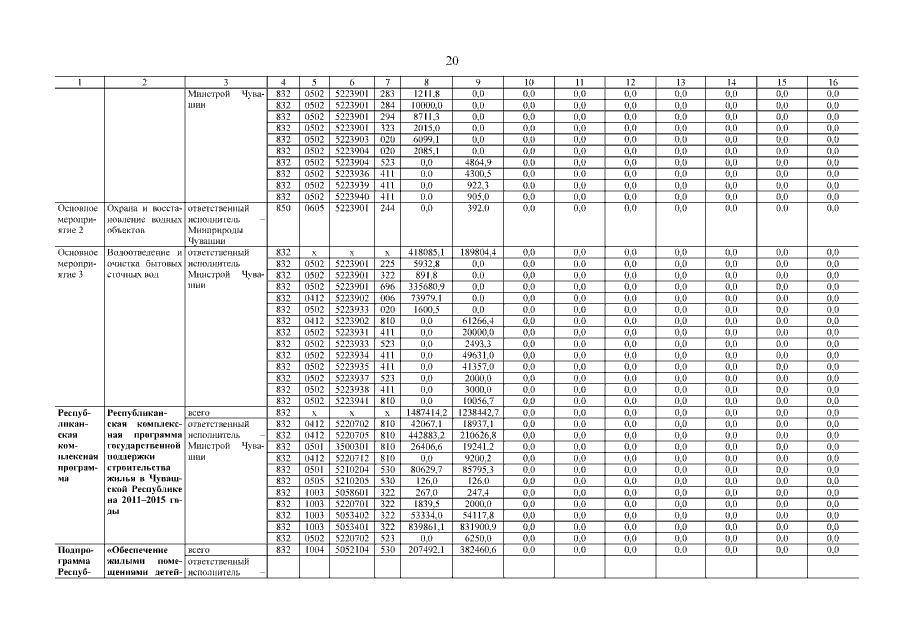
Постановление Кабинета Министров Чувашской Республики от 16.02.2015 № 37
"О внесении изменений в государственную программу Чувашской Республики "Развитие жилищного строительства и сферы жилищно-коммунального хозяйства" на 2012–2020 годы"
Номер опубликования: 2100201502240018
Дата опубликования: 24.02.2015
Страница №21 из 88:
Увеличить