Официальное опубликование правовых актов
ОФИЦИАЛЬНОЕ ОПУБЛИКОВАНИЕ
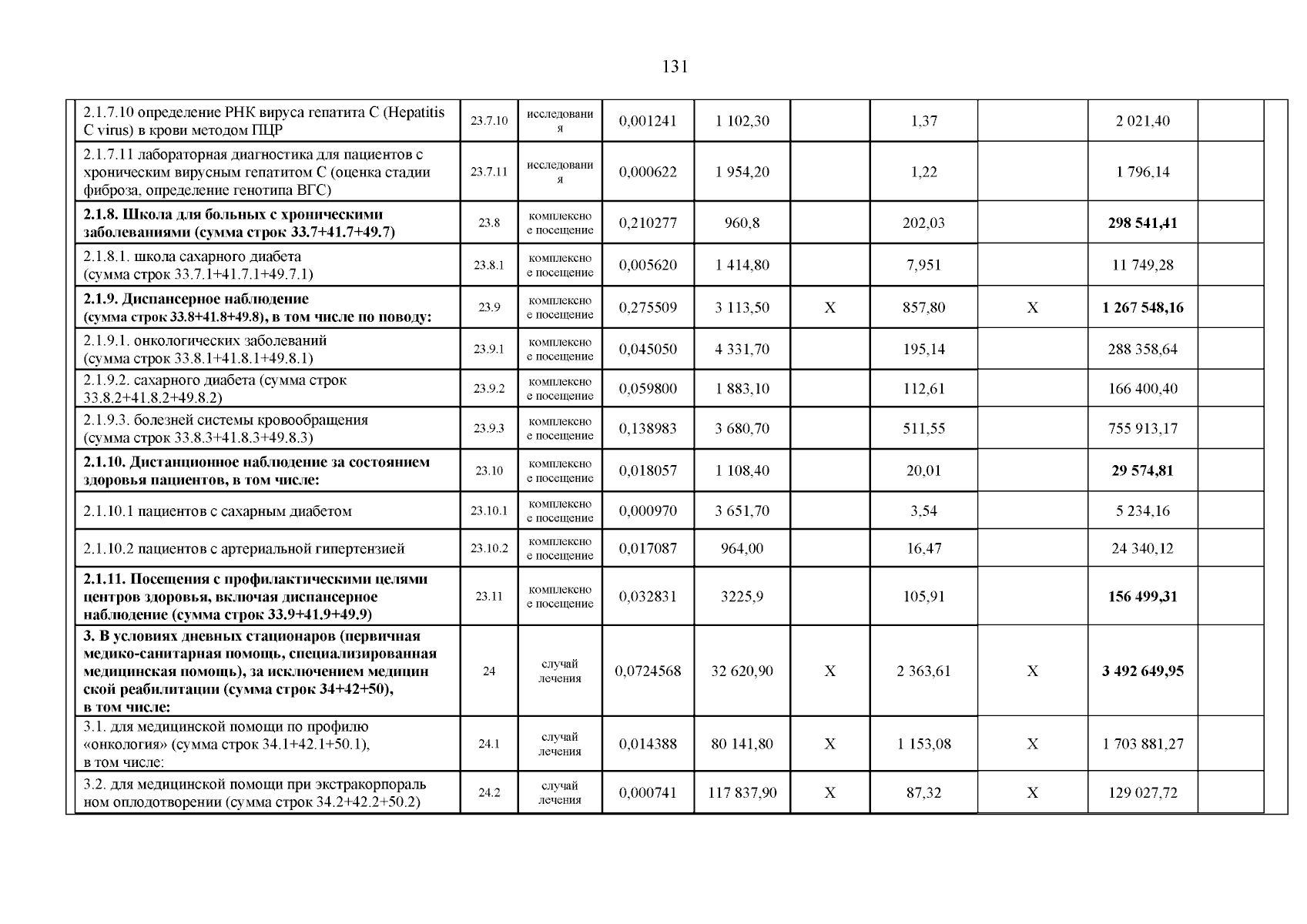
Постановление Правительства Чеченской Республики от 11.02.2026 № 5
"Об утверждении территориальной программы государственных гарантий бесплатного оказания гражданам медицинской помощи в Чеченской Республике на 2026 год и на плановый период 2027 и 2028 годов"
Номер опубликования: 2000202602170007
Дата опубликования: 17.02.2026
Страница №131 из 283:
Увеличить