Официальное опубликование правовых актов
ОФИЦИАЛЬНОЕ ОПУБЛИКОВАНИЕ
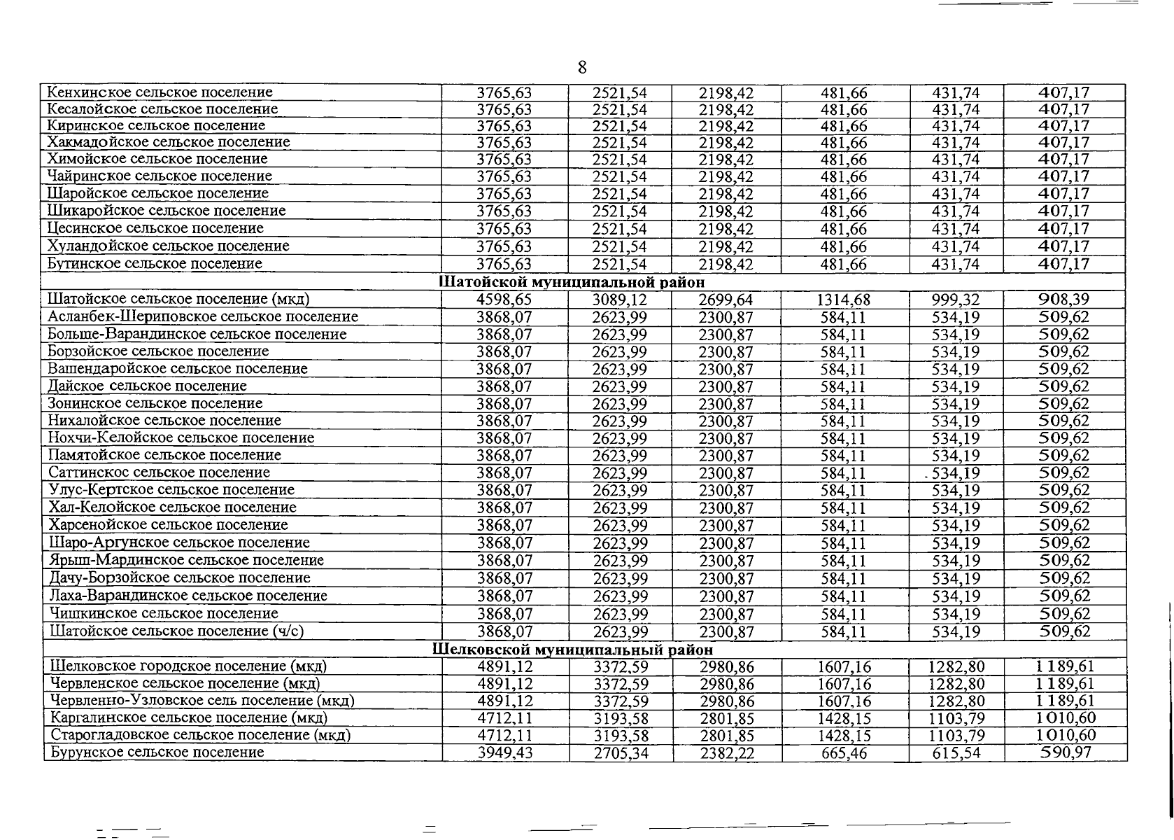
Постановление Правительства Чеченской Республики от 18.03.2025 № 81
"О республиканских стандартах стоимости жилищно-коммунальных услуг в Чеченской Республике с 1 января 2025 года по 31 декабря 2025 года"
Номер опубликования: 2000202503250046
Дата опубликования: 25.03.2025
Страница №8 из 17:
Увеличить