Официальное опубликование правовых актов
ОФИЦИАЛЬНОЕ ОПУБЛИКОВАНИЕ
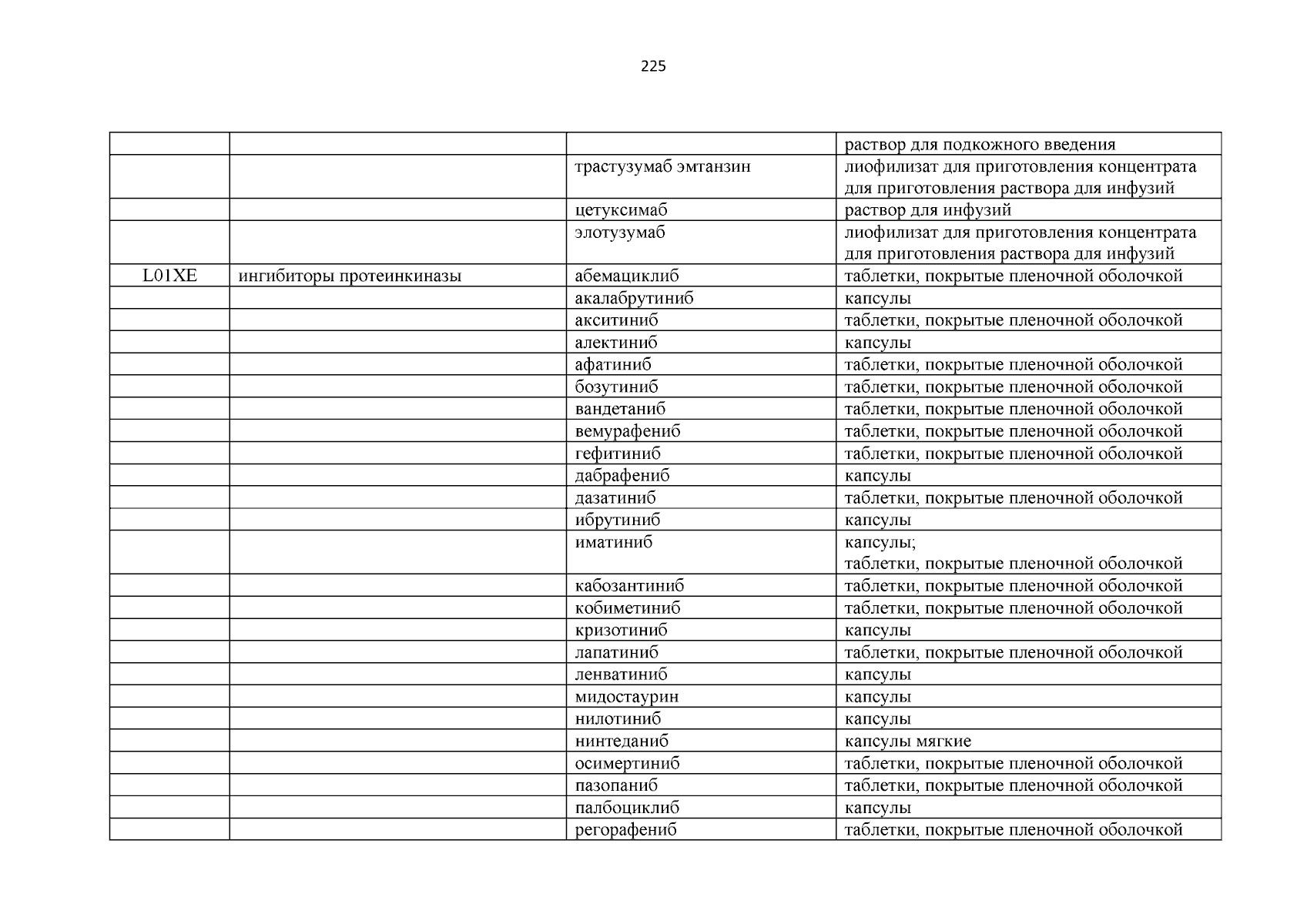
Постановление Правительства Чеченской Республики от 26.12.2024 № 355
"Об утверждении территориальной программы государственных гарантий бесплатного оказания гражданам медицинской помощи в Чеченской Республике на 2025 год и на плановый период 2026 и 2027 годов"
Номер опубликования: 2000202412280005
Дата опубликования: 28.12.2024
Страница №225 из 269:
Увеличить