Официальное опубликование правовых актов
ОФИЦИАЛЬНОЕ ОПУБЛИКОВАНИЕ
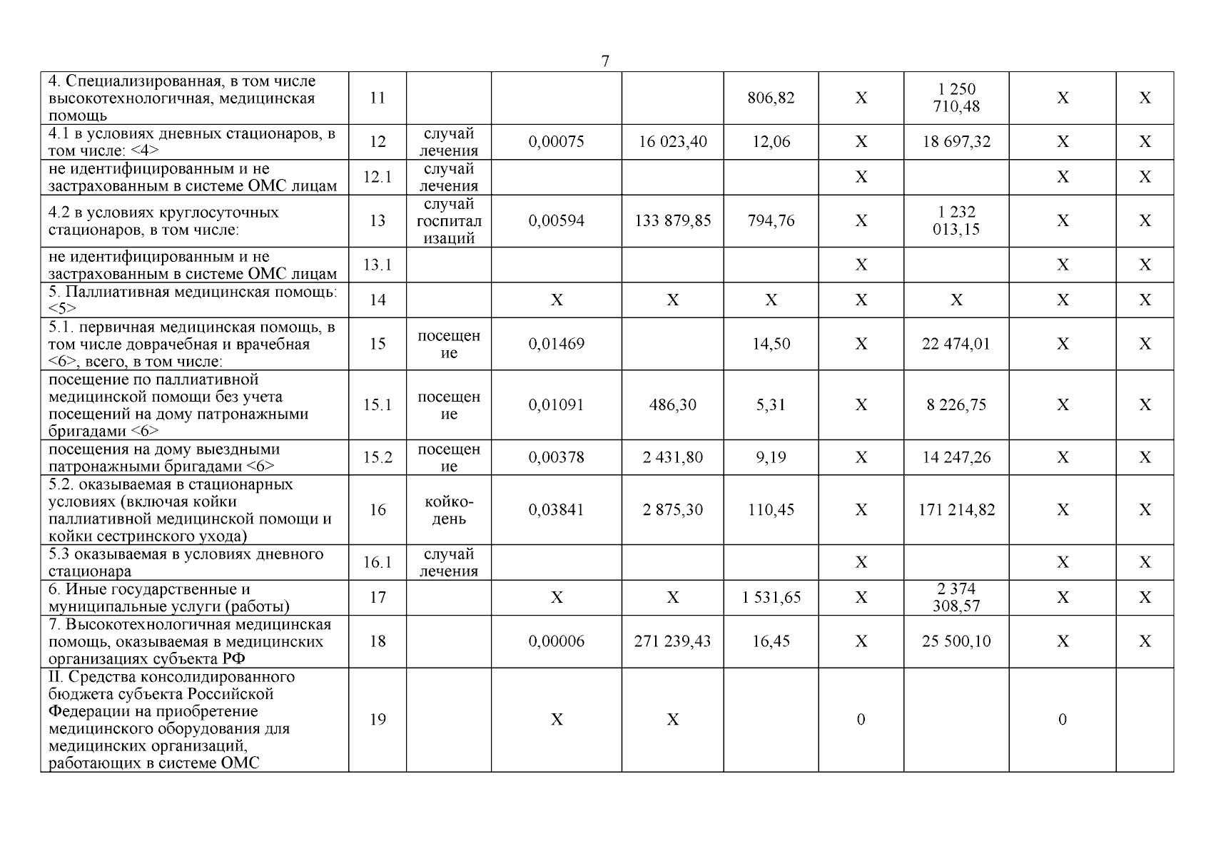
Постановление Правительства Чеченской Республики от 26.12.2024 № 354
"О внесении изменений в постановление Правительства Чеченской Республики от 26 декабря 2023 № 371"
Номер опубликования: 2000202412280003
Дата опубликования: 28.12.2024
Страница №7 из 22:
Увеличить