Официальное опубликование правовых актов
ОФИЦИАЛЬНОЕ ОПУБЛИКОВАНИЕ
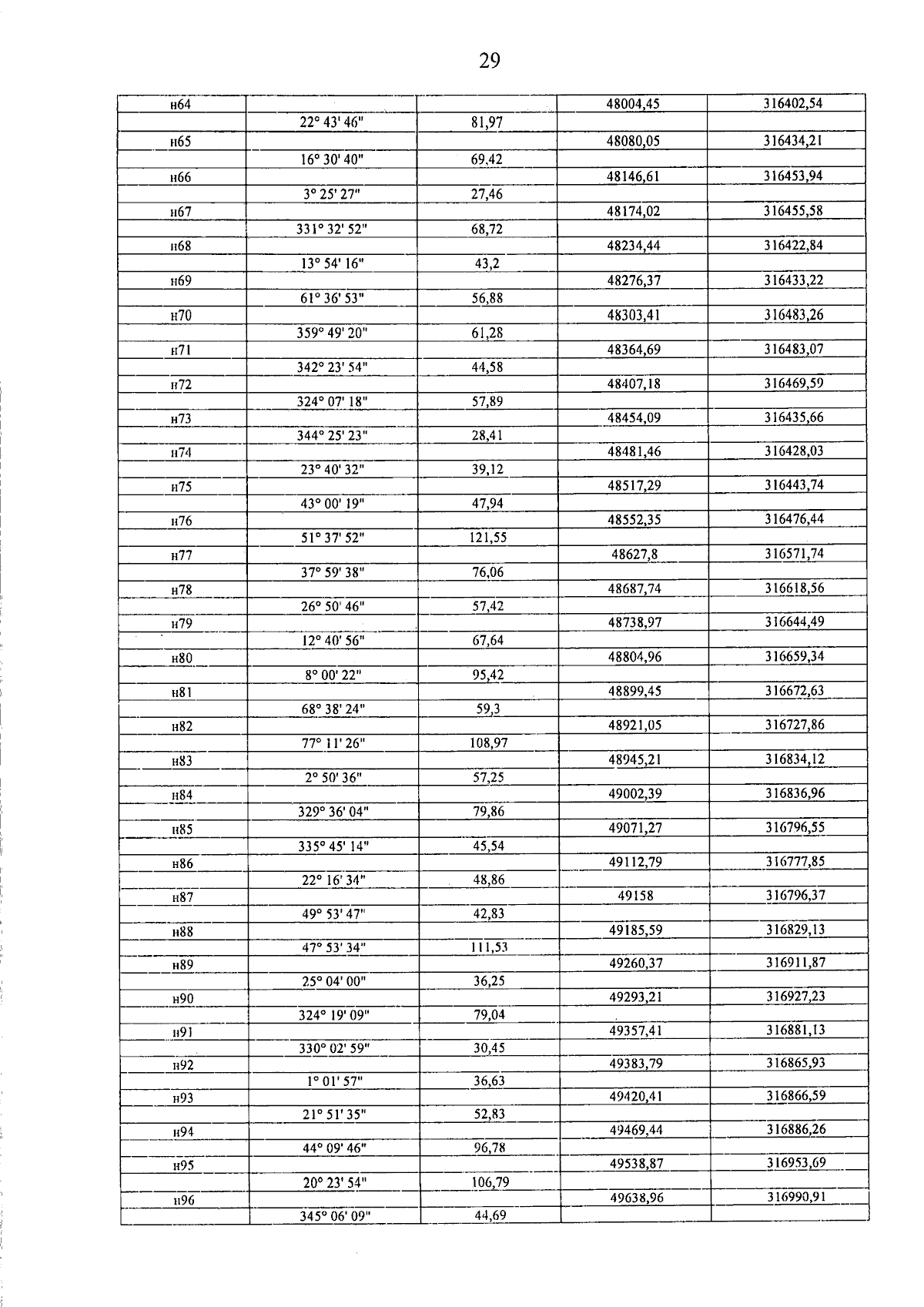
Закон Чеченской Республики от 11.06.2024 № 30-РЗ
"ОБ ИЗМЕНЕНИИ ГРАНИЦ ПАМЯТОЙСКОГО, САТТИНСКОГО И ШАТОЙСКОГО СЕЛЬСКИХ ПОСЕЛЕНИЙ ШАТОЙСКОГО МУНИЦИПАЛЬНОГО РАЙОНА ЧЕЧЕНСКОЙ РЕСПУБЛИКИ И О ВНЕСЕНИИ ИЗМЕНЕНИЙ В ЗАКОН ЧЕЧЕНСКОЙ РЕСПУБЛИКИ "ОБ ОБРАЗОВАНИИ МУНИЦИПАЛЬНОГО ОБРАЗОВАНИЯ ШАТОЙСКИЙ РАЙОН И МУНИЦИПАЛЬНЫХ ОБРАЗОВАНИЙ, ВХОДЯЩИХ В ЕГО СОСТАВ, УСТАНОВЛЕНИИ ИХ ГРАНИЦ И НАДЕЛЕНИИ ИХ СООТВЕТСТВУЮЩИМ СТАТУСОМ МУНИЦИПАЛЬНОГО РАЙОНА И СЕЛЬСКОГО ПОСЕЛЕНИЯ"
Номер опубликования: 2000202406130005
Дата опубликования: 13.06.2024
Страница №29 из 43:
Увеличить