Официальное опубликование правовых актов
ОФИЦИАЛЬНОЕ ОПУБЛИКОВАНИЕ
Закон Чеченской Республики от 24.05.2024 № 20-РЗ
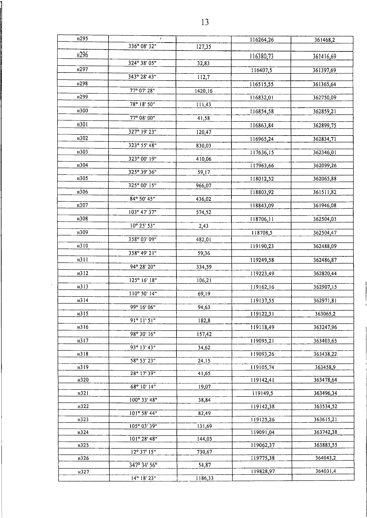
"О ПРЕОБРАЗОВАНИИ ГРЕБЕНСКОГО, ШЕЛКОВСКОГО СЕЛЬСКИХ ПОСЕЛЕНИЙ, НАСЕЛЕННЫХ ПУНКТОВ, ВХОДЯЩИХ В ИХ СОСТАВ, И О ВНЕСЕНИИ ИЗМЕНЕНИЙ В ЗАКОН ЧЕЧЕНСКОЙ РЕСПУБЛИКИ "ОБ ОБРАЗОВАНИИ МУНИЦИПАЛЬНОЮ ОБРАЗОВАНИЯ ШЕЛКОВСКОЙ РАЙОН И МУНИЦИПАЛЬНЫХ ОБРАЗОВАНИЙ, ВХОДЯЩИХ В ЕГО СОСТАВ, УСТАНОВЛЕНИИ ИХ ГРАНИЦ И НАДЕЛЕНИИ ИХ СООТВЕТСТВУЮЩИМ СТАТУСОМ МУНИЦИПАЛЬНОГО РАЙОНА И СЕЛЬСКОГО ПОСЕЛЕНИЯ"
Номер опубликования: 2000202405300001
Дата опубликования: 30.05.2024
Страница №13 из 17:
Увеличить