Официальное опубликование правовых актов
ОФИЦИАЛЬНОЕ ОПУБЛИКОВАНИЕ
Постановление Правительства Чеченской Республики от 26.12.2023 № 364
"О внесении изменений в постановление Правительства Чеченской Республики от 5 сентября 2017 года № 202"
Номер опубликования: 2000202312300041
Дата опубликования: 30.12.2023
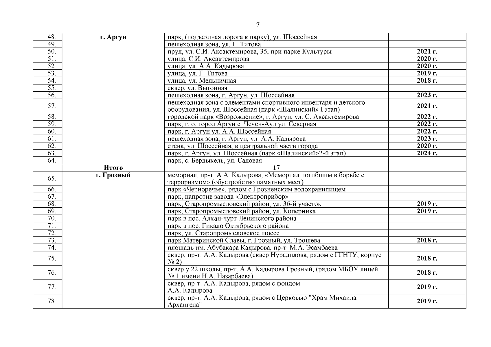
Страница №7 из 25:
Увеличить