Официальное опубликование правовых актов
ОФИЦИАЛЬНОЕ ОПУБЛИКОВАНИЕ
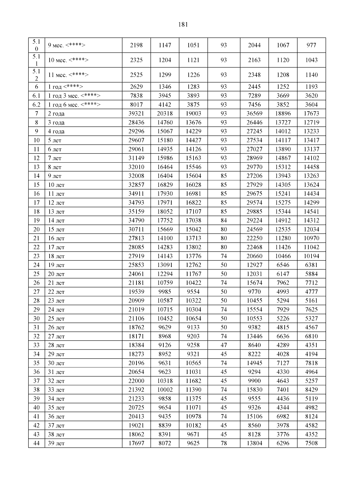
Постановление Правительства Чеченской Республики от 26.12.2023 № 371
"Об утверждении территориальной программы государственных гарантий бесплатного оказания гражданам медицинской помощи в Чеченской Республике на 2024 год и на плановый период 2025 и 2026 годов"
Номер опубликования: 2000202312300015
Дата опубликования: 30.12.2023
Страница №181 из 280:
Увеличить