Официальное опубликование правовых актов
ОФИЦИАЛЬНОЕ ОПУБЛИКОВАНИЕ
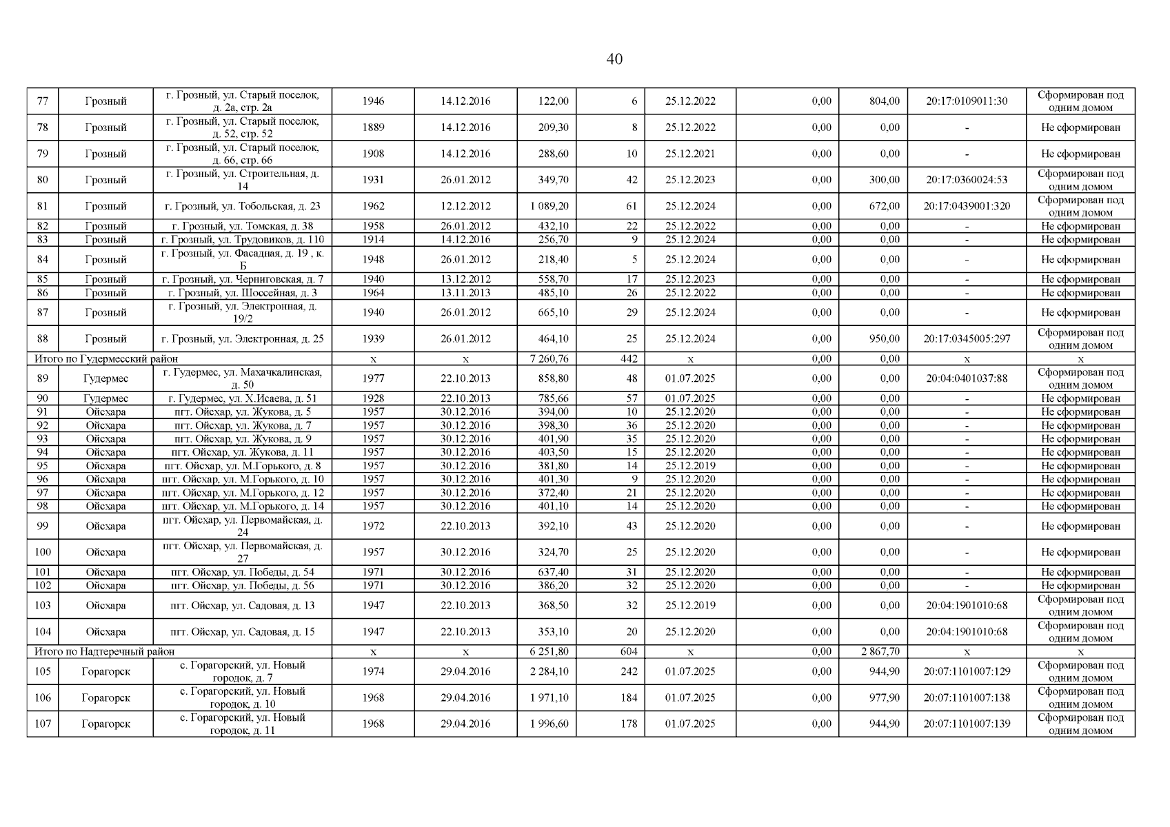
Постановление Правительства Чеченской Республики от 26.12.2023 № 335
"Об утверждении государственной программы Чеченской Республики "Обеспечение доступным и комфортным жильем и услугами ЖКХ граждан, проживающих в Чеченской Республике"
Номер опубликования: 2000202312300009
Дата опубликования: 30.12.2023
Страница №40 из 118:
Увеличить