Официальное опубликование правовых актов
ОФИЦИАЛЬНОЕ ОПУБЛИКОВАНИЕ
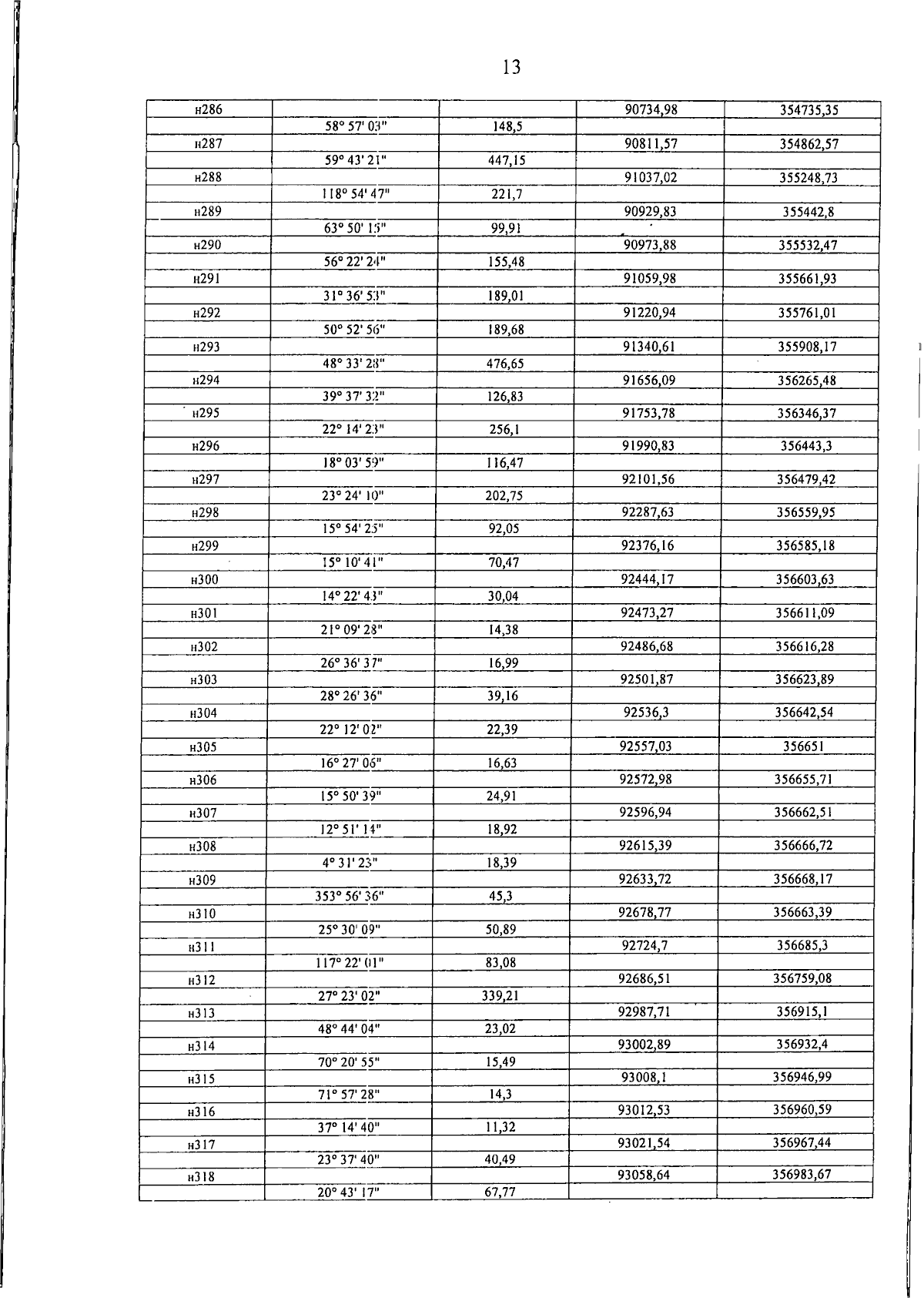
Закон Чеченской Республики от 15.12.2023 № 56-РЗ
"О ПРЕОБРАЗОВАНИИ ВЕРХНЕ-НОЙБЕРСКОГО, НИЖНЕ-НОЙБЕРСКОГО, ОЙСХАРСКОГО СЕЛЬСКИХ ПОСЕЛЕНИЙ, НАСЕЛЕННЫХ ПУНКТОВ, ВХОДЯЩИХ В ИХ СОСТАВ, И ВНЕСЕНИИ ИЗМЕНЕНИЙ В ЗАКОН ЧЕЧЕНСКОЙ РЕСПУБЛИКИ "ОБ ОБРАЗОВАНИИ МУНИЦИПАЛЬНОГО ОБРАЗОВАНИЯ ГУДЕРМЕССКИЙ РАЙОН И МУНИЦИПАЛЬНЫХ ОБРАЗОВАНИЙ, ВХОДЯЩИХ В ЕГО СОСТАВ, УСТАНОВЛЕНИИ ИХ ГРАНИЦ И НАДЕЛЕНИИ ИХ СООТВЕТСТВУЮЩИМ СТАТУСОМ МУНИЦИПАЛЬНОГО РАЙОНА, ГОРОДСКОГО И СЕЛЬСКОГО ПОСЕЛЕНИЯ"
Номер опубликования: 2000202312190010
Дата опубликования: 19.12.2023
Страница №13 из 15:
Увеличить