Официальное опубликование правовых актов
ОФИЦИАЛЬНОЕ ОПУБЛИКОВАНИЕ
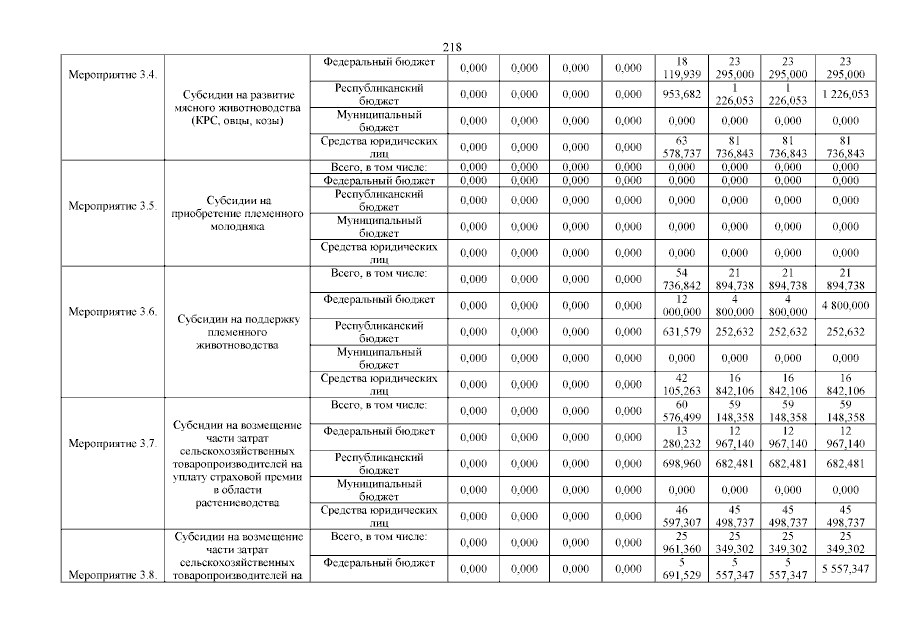
Постановление Правительства Чеченской Республики от 06.07.2023 № 177
"О внесении изменения в постановление Правительства Чеченской Республики от 3 декабря 2013 года № 312"
Номер опубликования: 2000202307100008
Дата опубликования: 10.07.2023
Страница №218 из 263:
Увеличить