Официальное опубликование правовых актов
ОФИЦИАЛЬНОЕ ОПУБЛИКОВАНИЕ
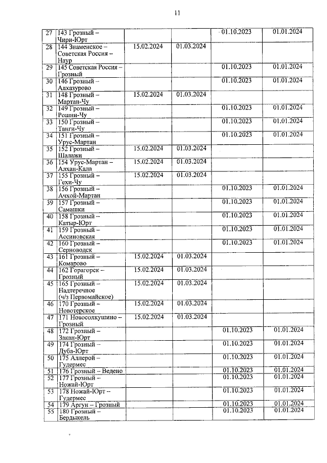
Постановление Правительства Чеченской Республики от 15.06.2023 № 138
"Об утверждении документа планирования регулярных перевозок пассажиров и багажа автомобильным транспортом по муниципальным и межмуниципальным маршрутам регулярных перевозок в Чеченской Республике на 2023- 2027 годы"
Номер опубликования: 2000202306230017
Дата опубликования: 23.06.2023
Страница №11 из 13:
Увеличить