Официальное опубликование правовых актов
ОФИЦИАЛЬНОЕ ОПУБЛИКОВАНИЕ
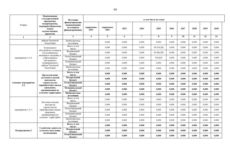
Постановление Правительства Чеченской Республики от 14.04.2023 № 102
"О внесении изменений в постановление Правительства Чеченской Республики от 18 октября 2022 года № 254"
Номер опубликования: 2000202304190003
Дата опубликования: 19.04.2023
Страница №99 из 130:
Увеличить