Официальное опубликование правовых актов
ОФИЦИАЛЬНОЕ ОПУБЛИКОВАНИЕ
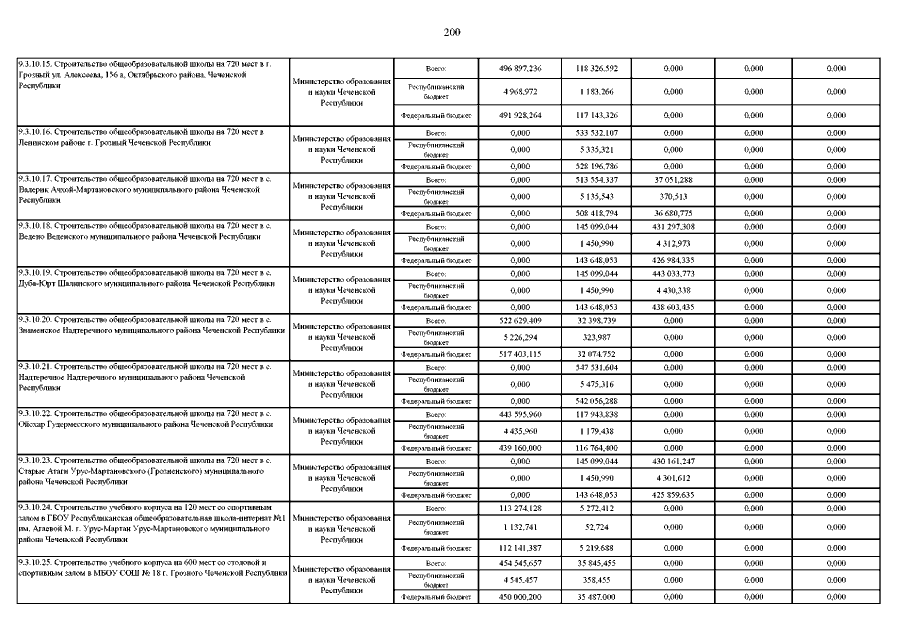
Постановление Правительства Чеченской Республики от 28.12.2022 № 337
"О внесении изменений в постановление Правительства Чеченской Республики от 17 августа 2020 года № 180"
Номер опубликования: 2000202212310009
Дата опубликования: 31.12.2022
Страница №200 из 219:
Увеличить